1. 서 론
2. 연구 지역
2.1 한강 하구역
2.2 금강 하구역
2.3 영산강 하구역
2.4 섬진강 하구역
2.5 낙동강 하구역
2.6 동해 용승해역
3. 재료 및 방법
4. 결 과
4.1 표층퇴적물의 평균입도 변화
4.2 표층퇴적물의 유기탄소 평균 함량 변화
5. 토 의
5.1 국내 5개 주요 하구역과 동해 용승해역 표층퇴적물의 입도 변화
5.2 국내 5개 주요 하구역과 동해 용승해역 표층퇴적물의 유기탄소 함량 변화
5.3 국내 하구역 표층퇴적물의 평균입도와 유기탄소 함량의 상관관계
6. 결 론
1. 서 론
하구는 담수와 해수 환경의 전이지대로서 연안 및 외해로 유출되는 대부분의 물질은 하천과 강을 경유하여 기수역을 통해서 유입되는데, 하구역은 담수와 해수가 혼합되는 해역으로 육상과 해양의 영향을 모두 받는 환경이다(McLusky, 1981). 예를 들어, 영산강 하구역의 경우 1981년 영산강 하굿둑이 건설된 후, 영양염 유입이 육상으로부터 지속적인 유기물 유입과 퇴적에 의한 오염현상이 가속화 되고 있으며 육상기인 물질에 의한 외해의 주요 오염이 하굿둑 수문의 운영에 의해 조절된다(Kim and Lee, 2003). 이와 같이 강과 하천은 육상과 해양을 연결하는 통로로서 육상 물질들을 하구로 운반하여 끊임없이 해양으로 이동시키고 있다(Bianchi et al., 2002; Goñi et al., 2003; Bianchi and Allison, 2009). 특히, 해양으로 공급되는 육상의 유기탄소는 생지화학적 과정을 거쳐 하구역과 연안에서 다양한 반응과 경로를 통해 주변 갯벌을 포함한 연안환경의 높은 일차생산성과 생물다양성을 유지하는 중요한 역할을 담당한다(Hedges et al., 1986, 1997). 전 세계적으로 연안퇴적물에 포함된 총유기탄소의 44%가 육상에서 공급되기 때문에 하구역을 포함한 연안환경에서 하천을 통한 육상 유기탄소의 비중은 매우 높다고 평가된다(Schlünz and Schneider, 2000).
연안역에서의 탄소순환은 전 지구적 탄소수지에서 변화가 많은 역동적인 구성요소이다. Oh(2016)는 우리나라 5대강의 유역 총면적과 총유출량을 이용하여, 국가 규모에서 해양으로 유출되는 총유기탄소의 총량이 119×109 gC/yr에 달한다고 추정하였다. 대규모 강에 의한 퇴적물 유입, 유기물의 오염, 또는 저산소 환경 등의 예외적인 지역을 제외하고, 쇄설성 퇴적물이 우세한 해역에서 일반적으로 유기탄소의 축적률은 퇴적률과 유기탄소 함량에 의존한다. 특정 지역에서의 유기탄소 저장량을 산출하기 위해서는 퇴적물의 구성성분과 관련된 전밀도(bulk density), 유기탄소 함량 그리고 대상 지역의 면적 등의 자료가 필요하지만, 단위 면적당 또는 정성적인 비교에 있어서는 퇴적물의 유기탄소 함량이 가장 중요한 변수이다(Bauer et al., 2013; Howard et al., 2014).
Thomas(1969)는 호수퇴적물의 점토 함량과 유기탄소 함량 사이에 양의 상관관계가 있으며 점토 함량은 퇴적물 입도의 중간값을 대표한다고 발표하였다. 점토와 유기탄소 함량 사이의 양의 상관관계는 유기탄소가 점토 입자에 의해 흡착되기 때문에 퇴적물 점토입자의 표면적이 중요하다고 제안되었다. 한편, 북미 대륙붕 퇴적물의 유기탄소 함량과 입도 사이의 관계가 퇴적물 입자의 면적을 이용하여 재해석되었다(Mayer, 1994). 해양 퇴적물의 경우 입도와 유기탄소 함량의 관계는 유기탄소가 세립한 쇄설성 입자에 흡착되는 특성 또는 두 변수(유기탄소와 입도) 사이의 유체역학적 등가성(hydrodynamic equivalence)에 의존한다(Pedersen and Calvert, 1990). 그러나, 대륙붕 지역에서 밀도가 낮은 유기물 입자들의 축적은 퇴적물의 입도에 크게 의존되지 않지만, 전체 유기탄소 함량은 입자의 표면적과 직접적으로 관계된 퇴적물의 입도에 많이 의존된다고 발표되었다(Mayer et al., 1993; Nicolas and Bhiwajee, 2021). 하구역 퇴적물의 유기탄소 함량은 퇴적물의 입도, 유기탄소의 기원, 퇴적률, 보존율(즉, 분해율) 등등 다양한 변수에 의해서 결정된다(Burdige, 2006). 해양에서 유기탄소의 기원과 생성과정은 다양하며 인간활동의 부산물(도시하수, 산업폐수, 또는 영양염)에 의해 연안역 유기탄소의 생산과 퇴적률이 증가되는 반면에 보존율은 퇴적률, 유기물의 구성성분, 생물교란, 산소 노출시간 등에 의해 영향을 받는다. 유기탄소가 특별한 인간활동에 의한 교란이나 극도로 높은 퇴적률 또는 매우 짧은 산소농도의 지속시간 등의 영향을 제외하면, 하구역 퇴적물의 유기탄소 함량도 퇴적물 입도와 매우 밀접한 관련이 있다.
이 연구의 목적은 한국 연안환경을 대표하는 5개 주요 하구역(한강, 금강, 영산강, 섬진강, 낙동강)에서 보고된 표층퇴적물의 평균입도(mean grain size)와 유기탄소 함량(organic carbon content) 자료를 이용하여 두 요인들 사이의 상관관계와 하구역 사이의 특성을 알아보는 것이다. 하구역의 유기탄소 함량 특성을 평가하기 위해 동해 용승해역 표층퇴적물의 결과를 추가하여 비교하였다.
2. 연구 지역
2.1 한강 하구역
한강은 유역면적이 34,674 km2, 유로연장이 459 km, 유역평균 폭이 75.5 m에 이르는 남한 최대의 하천이다(Oh, 1989). 한강 본류에서 경기만으로 유입되는 연평균 유출량과 부유물질량은 각각 2.5x1010 m3, 1.25x106~7.5x104 m3로 보고되었지만, 여름철 홍수, 조류 및 상류의 인위적인 댐 관리에 의해 계절적으로 변화가 심하다(Oh, 1989). 한강 하구역의 기초생산력은 38~185 mgC/m3/d로 한강 하류에 비하여 매우 낮으며, 주요 식물플랑크톤 종은 저서성 규조류가 조류에 따라 재부유되면서 기초생산력에 많은 영향을 미치는 것으로 밝혀졌다(Park, 2004). 한강 하구역을 포함한 경기만 지역의 표층퇴적물은 자갈(0~80%), 모래(1~99%), 그리고 머드(0.1~92%) 등의 다양한 조성으로 분포한다(Oh and Bang, 2003). 특히 수심이 낮은 연안 지역은 상대적으로 다양한 퇴적상을 나타내며, 외해로 갈수록 사질퇴적물이 우세하게 분포한다.
2.2 금강 하구역
금강은 유로연장이 412 km, 유역면적이 약 9,900 km2에 달하는 한강, 낙동강에 이어 남한에서 세 번째로 큰 강이다(Yang et al., 1999). 연평균 강물 유출량은 약 6.4x109 m3에 달하며 하구로 유출되는 부유물질의 양은 연간 약 1.0~1.5x106 m3에 이른다(Choi et al., 1995). 금강 하구역은 복잡한 지형 및 천해 특성에 기인한 조석현상이 일조부등의 반일주조로 뚜렷하게 나타나며, 강물 유출량에 비하여 상대적으로 조석의 영향이 우세한 대조차 환경이다(Seo and Park, 2007). 금강 하구역에서 기초생산력을 조사하여 발표한 자료는 없고, 금강 수계의 기초생산력은 40~4,558 mgC/m2/d로 발표되었다(Shin et al., 2012). 금강 하구역의 표층퇴적물의 조성은 자갈(0~3%), 모래(22~99%), 실트(0~60%), 점토(1~26%)의 함량이 다양하다(Hwang et al., 2013). 하구역 내의 퇴적물은 상대적으로 세립하고 외해로 가면서 조립질이 우세하게 분포한다.
2.3 영산강 하구역
영산강은 유로연장이 137 km로 우리나라에서 5번째로 긴 규모의 하천으로 유역면적이 3,468 km2이다. 2005년부터 2011년까지 영산강 하굿둑의 배수갑문을 통해 방출된 담수 방출량은 연평균 1.45×109 m3이며, 담수방출은 여름철(6~8월) 홍수기에 집중된다(Kim et al., 2019). 영산강 하구역의 수심은 대체로 10~15 m 범위로서 하구 중앙부는 20 m 이상의 비교적 깊은 수심을 보인다. 2009년 8월에 측정한 영산강 하구역의 일차생산력 결과중에 부영양 상태를 구분하는 기준을 초과하는 높은 값(7,083과 8,927 mgC/m2/d)이 측정되었으며, 여름철 영산호 부영양 물의 대량 방류가 연안 해역에 식물플랑크톤 대발생을 야기하는 주된 요인으로 작용한다(Lee et al., 2011). 영산강 하구역의 표층퇴적물은 전반적으로 실트성 점토질의 구성이 우세하다. 내만으로 들어올수록 외해역에 비해 상대적으로 세립한 퇴적물이 우세하게 분포한다(Lim and Park, 1998).
2.4 섬진강 하구역
남해안의 중앙부에 위치한 섬진강은 길이 225 km에 유역면적 4,896 km2을 가지며, 배수량은 연간 약 5.8~8.7×108 m3으로서 하천수가 부유물질을 연간 0.8×106 m3 정도 광양만으로 유출한다(Kim and Lee, 2004). 섬진강 하구의 광양만은 여수반도와 남해도로 둘러싸인 반폐쇄적인 지형이며 대부분의 지역에서 수심은 5 m 이하로 얕고 수로 지역은 수심 30 m 이상이다. 섬진강 하구역에서 일차생산의 범위는 2001년에 50.7~14,203.3 mgC/m3/d로 측정되었다(Yang et al., 2005). 광양만의 표층퇴적물은 4개의 퇴적상(니질역, 니질사, 사질니 그리고 니)으로 구분되며 이들 퇴적상의 자갈, 모래, 실트, 점토의 함량비는 각각 평균 0.5%, 13.0%, 42.1%, 43.4%로 입도의 분포 범위는 넓으나 대부분 실트와 점토의 세립질 퇴적물로 구성된다(Ryu, 2003). 광양만에서 여수해만 외해로 가면서 표층퇴적물은 세립화되는 경향을 보인다(Hyun et al., 2003).
2.5 낙동강 하구역
낙동강은 유로연장 525 km, 유역면적 28,852 km2에 달하는 남한 남동부의 중요한 하천이다(Park et al., 1986). 낙동강의 연간 담수 유출량은 630x109 m3 톤에 이르며 그중 약 60~70%이상이 홍수기인 7, 8월에 집중된다(Yoo et al., 2017). 또한 연간 4.6x106 m3에 달하는 퇴적물이 부유 상태로 유출되고 쇄설성 퇴적물중 조립한 퇴적물의 대부분은 하구를 중심으로 퇴적되며 다양한 형태의 모래사주를 포함하는 넓은 삼각주를 형성하고 있다(Ban, 1986). 낙동강 하구역은 질소계 영양염이 풍부하게 있어 식물플랑크톤의 제한 요인으로 작용하지 않는 반면에 인산염이 제한 요인으로 나타난다. 일차생산력은 8.5~374.33 mgC/m3/d의 범위에서 변동한다(Yang et al., 2001). 낙동강 하구 및 주변해역 표층퇴적물은 하구둑 안쪽에서 점토 함량이 63%에 달하며 하구둑 바깥쪽에서는 대부분 모래의 함량이 높게 분포하며 평균입도의 차이가 2.3~8.6Φ로 크게 나타난다(Kim et al., 2000).
2.6 동해 용승해역
여름철에 동해 남부 감포-울기해역은 연안에 평행한 남서풍이 우세할 때 연안의 표층수는 에크만(Ekman)수송에 의하여 외해로 밀려가고 연안에서 저층수가 표층으로 올라오는 용승이 발생하여 표층수온이 하강한다(Byun, 1989; Shin, 2019). Choi et al.(2020)은 2013년 7월 광범위한 냉수대가 발현한 해역의 일차생산량이 평균 1,012 mgC/m2/d로 발표하였다. 동해 남부 연안 해역에서 냉수대의 발생에 따른 영양염 공급은 식물플랑크톤 군집조성과 현존량에 중요한 영향을 한다(Kim et al., 2014). 연안용승의 현상으로 인하여 동해 남서 해역은 동해의 타해역보다 생산성이 높다(Yoo and Park, 2009). 동해안 대륙붕 표층퇴적물은 연안을 따라 수심 100 m 내외 지역에서 남북으로 평행하게 분포하며, 평균입도는 1.2-9.2φ의 넓은 범위로 조성이 다양하다(Choi and Park, 1993). 일반적으로 내대륙붕은 세립질 퇴적물이 우세하지만, 외대륙붕은 조립질 퇴적물이 우세하다(Koo et al., 2014).
3. 재료 및 방법
우리나라 해양생태계의 현황과 장·단기 변동을 진단하고 체계적으로 평가하기 위한 국가 해양생태계 종합조사의 연안생태 중점조사는 매년 4계절(동계[1월-3월], 춘계[5월-6월], 하계[7월-9월], 추계[10월-11월])에 우리나라 대표 5개 하구역(한강, 금강, 영산강, 섬진강, 낙동강)과 1개의 동해 용승해역에서 수행된다. 한강 하구역과 낙동강 하구역에서는 7개 정점에서 나머지 하구역과 동해 용승해역에서는 각각 6개 정점에서 조사가 수행된다(Fig. 1). 이 연구에서는 2015년부터 2020년까지의 연안생태 중점조사 지역에서 수행되고 발표된 표층퇴적물 입도와 유기탄소 함량 자료를 이용하였다. 영산강 하구역과 섬진강 하구역의 연안생태 중점조사는 2018년부터 시작되었다. 이 연구에 이용된 모든 자료는 국가 해양생태계 종합조사 보고서에 수록되어 있다(KOEM, 2015, 2016, 2017, 2018, 2019a, 2020). 표층퇴적물의 입도와 유기탄소 함량 분석 방법은 국가해양생태계 종합조사 조사지침서에 설명되어 있다(KOEM, 2019b).

Fig. 1.
Location of 5 major estuarine areas of Korea (Han River Estuary: HRE, Geum River Estuary: GRE, Yeongsan River Estuary: YRE, Seomjin River Estuary: SRE, and Nakdong River Estuary: NRE) and the East Sea upwelling area (ESUA) (red box). Inset figures show the location sampling site in each survey area. The sampling sites are same in National Survey on Marine Ecosystem.
4. 결 과
4.1 표층퇴적물의 평균입도 변화
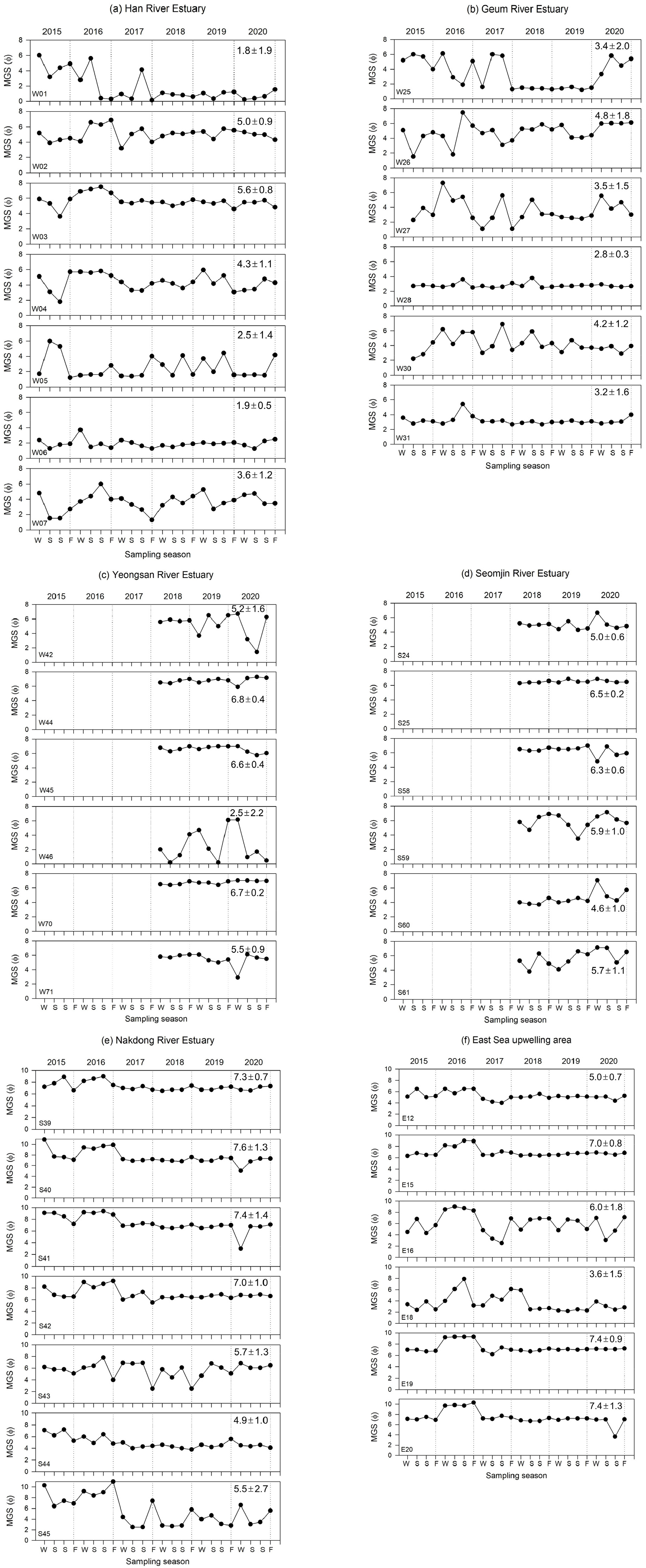
한강 하구역 7개 정점 표층퇴적물의 6년간(2015년–2020년) 평균입도는 1.8±1.9Φ에서 5.6±0.8Φ사이의 범위에서 변화하였다(Appendix 1(a)). 전체적으로 평균입도의 변화는 계절적으로 반복되지 않으며 조사 전반부에 변화폭이 큰 정점 W01과 W05를 제외하고 각 정점에서 적은 범위의 표준편차(±0.5~1.2Φ)내에서 입도가 변화하였다. 조사기간동안 한강 하구역 모든 정점들의 평균입도들의 평균(average)은 3.6±1.8Φ로 조립한 특성을 유지한다(Fig. 2).
금강 하구역 6개 정점 표층퇴적물의 평균입도는 6년간 2.8±0.3Φ에서 4.8±1.4Φ사이에서 변화하였고 변화폭은 한강 하구역보다 감소하였다(Appendix 1(b)). 정점마다 평균입도의 변화폭이 매우 다양하며(±0.3~1.5Φ) 한강 하구역과 마찬가지로 계절적인 주기적 변화는 보이지 않는다. 조사기간동안 금강 하구역 모든 정점들의 평균입도들의 평균은 3.7±1.4Φ로 한강 하구역과 유사하게 조립한 특징을 보인다(Fig. 2).
영산강 하구역 6개 정점 표층퇴적물의 3년간(2018년–2020년) 분석된 평균입도는 2.5±2.2Φ에서 6.8±0.4Φ사이에서 변화하였다(Appendix 1(c)). 정점 사이의 평균입도 변화 차이(±0.2~2.2Φ)가 매우 다양하고 다른 하구역과 유사하게 계절적인 변화는 보이지 않았다. 정점 W42와 W46을 제외한 영산강의 영향을 더 많이 받는 정점들의 3년간 평균입도±표준편차는 6.4±0.5Φ로 하구역 전체 평균보다는 세립한 특징을 보여 하구에서 외해로 가면서 조립화 경향을 보인다. 조사기간동안 영산강 하구역 모든 정점들의 평균입도들의 평균은 5.5±1.9Φ로 한강 하구역과 금강 하구역에 비해 1.0Φ이상 세립한 특징을 보였다(Fig. 2).
섬진강 하구역 6개 정점 표층퇴적물의 3년간(2018년–2020년) 분석된 평균입도는 4.6±1.0Φ에서 6.5±0.2Φ사이에서 변화하였다(Appendix 1(d)). 정점 S59에서 평균입도의 증감이 반복되지만 다른 정점들과 마찬가지로 계절적인 변화는 아니며 정점 사이의 평균입도 변화의 차이(±0.2~1.1Φ)는 상대적으로 적었다. 조사기간동안 섬진강 하구역 모든 정점들의 평균입도들의 평균은 5.7±1.0Φ로 영산강 하구역과 유사한 값을 보이며, 북쪽의 한강 하구역과 금강 하구역보다 세립한 특징을 보였다(Fig. 2).
낙동강 하구역 7개 정점 표층퇴적물의 6년간(2015년–2020년) 분석된 평균입도는 4.9±1.0Φ에서 7.6±1.3Φ사이의 변화하였고 다른 하구역에 비하여 세립한 특징을 보인다(Appendix 1(e)). 각 정점에서 평균입도는 다양하게 변화하고(±0.7~2.7Φ) 다른 하구역과 마찬가지로 계절적인 특징은 발견되지 않는다. 한편 다른 하구역과 다르게 낙동강 하구역에서는 낙동강에 가깝게 위치한 정점 S44와 S45의 6년간 평균입도±표준편차는 5.2±1.9Φ로 조립한 특징을 보인다. 조사기간동안 낙동강 하구역 모든 정점들의 평균입도들의 평균은 6.5±1.7Φ로 5개 하구역중에 가장 세립하다(Fig. 2).
동해 용승해역 6개 정점 표층퇴적물의 6년간 분석된 평균입도는 3.6±1.5Φ에서 7.4±0.9Φ사이에서 변화한다(Appendix 1(f)). 하구역과 마찬가지로 용승 해역의 평균입도는 계절적인 변화가 뚜렷하지 않다. 2016년의 평균입도는 모든 정점에서 세립한 경향으로 변화하며 용승의 영향을 더 많이 받는 정점 E19와 E20의 6년간 평균입도는 7.4±1.1Φ로 1.0Φ 이상 매우 세립한 특징을 보인다. 조사기간동안 동해 용승해역 모든 정점들의 평균입도들의 평균은 6.1±1.8Φ로 세립한 특성을 유지한다(Fig. 2).
4.2 표층퇴적물의 유기탄소 평균 함량 변화
한강 하구역 표층퇴적물의 6년간 계절별로 분석된 각 정점에서 유기탄소 함량의 평균은 0.12±0.06%에서 0.54±0.34%사이에서 변화하며(Appendix 2(a)), 조사기간 동안 분석된 모든 유기탄소 함량 자료들의 평균은 0.35±0.32%로 계산되었다(Fig. 3). 각 정점들에서 유기탄소 함량은 계절적인 변화를 보이지 않으며 조사기간 동안 함량 변화가 매우 작은 정점(W06)과 다양한 변화를 보이는 정점(W02) 그리고 간헐적인 변화를 보이는 정점(W01, W07) 등 정점마다 다르게 변화한다. 몇몇 정점에서 특별하게 높은 이상값(outlier)의 유기탄소 함량(적색점선)을 제외한 유기탄소 함량의 평균은 0.30±0.19%로 전체 평균(0.35±0.32%)과 큰 차이를 보이지 않는다.
금강 하구역 표층퇴적물의 6년간 계절별로 분석된 각 정점에서 유기탄소 함량의 평균은 0.26±0.15%에서 0.71±0.26%사이에서 변화하며(Appendix 2(b)), 조사기간 동안 분석된 모든 유기탄소 함량 자료들의 평균은 0.45±0.35%로 한강 하구역보다는 0.1% 정도 약간 높다(Fig. 3). 한강 하구역과 마찬가지로 정점들 사이에 유사한 변화는 보이지 않고 변화가 다양하고 정점마다 다르게 변화한다. 몇몇 정점에서 이상값(정점 W27, W30: >1.0%, 정점 W28: >0.8%)의 유기탄소 함량을 제외한 유기탄소 함량의 평균은 모든 자료의 평균과 약간의 차이를 보이지만, 전체 정점의 이상값을 제외한 평균(0.40±0.18%)은 전체 평균과 큰 차이를 보이지 않는다.
영산강 하구역 표층퇴적물의 3년간 계절별로 분석된 각 정점에서 유기탄소 함량의 평균은 0.77±0.88%에서 1.38±0.71%사이에서 변화하며(Appendix 2(c)), 조사기간 동안 분석된 모든 유기탄소 함량 자료들의 평균은 1.07±0.82%로 한강 하구역과 금강 하구역에 비해 2배 이상 높다(Fig. 3). 2018년의 유기탄소 함량(적색점선)을 제외한 평균은 0.69±0.29%로 전체 평균에 비해 0.4% 정도 감소하지만 한강 하구역과 금강 하구역에 비해 여전히 높다. 더불어 영산강에 가깝게 위치한 정점들의 평균(2018년 제외)도 0.84±0.25%로 높게 나타난다.
섬진강 하구역 표층퇴적물의 3년간 계절별로 분석된 각 정점에서 유기탄소 함량의 평균은 0.64±0.29%에서 1.35±0.51%사이에서 변화하며(Appendix 2(d)), 조사기간 동안 분석된 모든 유기탄소 함량 자료들의 평균은 1.09±0.57%로 영산강 하구역과 유사하다(Fig. 3). 각 정점들에서 계절적인 변화는 뚜렷하지 않고 변화가 거의 없는 정점 S24와 이상값(적색점선)을 보이는 정점 S61을 제외하고 모든 정점에서 3년간의 변화(0.41~0.60%)는 거의 비슷하다. 한편 섬진강에 가깝게 위치한 정점들의 평균은 1.17±0.54%로 하구역 전체 평균보다 약간 높다.
낙동강 하구역 표층퇴적물의 6년간 계절별로 분석된 각 정점에서 유기탄소 함량의 평균은 0.80±0.28%에서 2.44±0.99%사이에서 변화하며(Appendix 2(e)), 조사기간 동안 분석된 모든 유기탄소 함량 자료들의 평균은 1.45±0.83%로 5개 하구역중에 가장 높다(Fig. 3). 정점 S39와 S45의 특별한 이상값을 제외한 평균도 1.40±0.77%로 높게 나타난다. 그러나, 낙동강에 가깝게 위치한 정점 S44와 S45의 평균은 0.97±0.55%로 낮아진다. 낙동강 하구역에서 높은 유기탄소 함량을 보이는 정점들은 마산만에 위치한다.
동해 용승해역 표층퇴적물의 6년간 계절별로 분석된 각 정점에서 유기탄소 함량의 평균은 0.88±0.58%에서 2.15±0.54%사이에서 변화하며(Appendix 2(f)), 조사기간 동안 분석된 모든 유기탄소 함량 자료들의 평균은 1.75±0.77%로 하구역에 비해 매우 높다(Fig. 3). 2018년을 제외하고 각 정점들에서 유기탄소 함량의 변화는 작으며(±0.28~0.48), 특별한 이상값을 제외한 유기탄소 함량의 평균은 1.73±0.66%로 전체 평균과 큰 차이를 보이지 않는다. 한편 용승의 영향을 더 많이 받는 정점 E19와 E20의 6년간 평균은 2.07±0.76%(이상값 제외: 2.24±0.39%)로 하구역에 비해 2배 이상 높다.
5. 토 의
5.1 국내 5개 주요 하구역과 동해 용승해역 표층퇴적물의 입도 변화
하구역 표층퇴적물의 입도는 강으로부터 운반된 퇴적물의 특성과 강하구의 퇴적과정 그리고 하구역의 수리역학적 환경에 의해 결정된다(예, Kapsimalis et al., 2004). 국내 5개 하구역의 주요 강들의 유출량은 뚜렷한 계절적 변화를 보여주며, 유출량 대부분은 여름철 홍수기에 나타난다(예, Oh, 1989; Choi et al., 1995). 일반적으로 풍수기에 증가된 유출량에 의해 강으로부터 유입되는 퇴적물에 의해 하구의 퇴적물 이동과 퇴적양상의 변화가 발생한다(Perez et al., 2000). 그러나 본 연구에서 하구역 및 용승해역 표층퇴적물의 평균입도는 뚜렷한 계절적 변화를 보이지 않는다(Appendix 1). 이는 하구역 표층퇴적물의 평균입도는 몬순 기후의 영향에 있는 강물 유출량(즉, 부유물질 농도)에는 크게 영향을 받지 않고 있음을 지시한다. 그러나 더욱 중요한 요인은 하구역에서 퇴적물의 퇴적률이 계절성을 반영할 만큼 크지 않기 때문에 하구역 및 용승해역에서 계절적인 분석에도 불구하고 평균입도의 변화가 계절적인 변화를 기록하지 못하는 것으로 추정된다(예, Kang et al., 2021). 또한 연구해역인 하구역 및 용승해역 조사 지역의 각 정점들에서 평균입도의 시간적인 변화 또는 각 조사지역내 평균입도의 공간적인 변화에서 특별한 계절적인 유사성을 찾기 매우 어렵다(Appendix 1). 대조차 연안에 해당하는 서해안의 하구역과 중조차 연안에 속하는 남해안의 하구역에서 조석과 파랑의 뚜렷한 계절적인 영향보다는 각 조사지역 또는 조사지역내 각 정점에서 나타나는 수리역학적 영향(파랑과 조석)에 더 크게 조절되는 것으로 해석된다.
서해안과 남해안에 위치한 5개의 하구역 표층퇴적물의 평균입도는 하구역별로 구분되는 특징을 보인다(Fig. 2). 조사 기간동안 하구역마다 표층퇴적물 평균입도의 변화 범위는 매우 다양하다(Appendix 1). 예를 들어 한강 하구역의 정점 W01과 W05에서 나타나는 매우 큰 평균입도의 변화는 아마도 하구역내에서 지역적인 수리역학적 차이때문으로 생각된다. 그럼에도 불구하고 하구역에서 조사된 모든 정점들을 대표하는 표층퇴적물의 평균입도는 하구역을 구분하는 중요한 변수로 제안된다. 국내 하구역에서 한강 하구역과 금강 하구역 표층퇴적물의 평균입도는 3.6~3.7Φ로 조립한 반면에 영산강 하구역과 섬진강 하구역 표층퇴적물의 평균입도는 5.5~5.7Φ로 세립하며 낙동강 하구역 표층퇴적물의 평균입도는 6.5Φ로 가장 세립하며 동해 용승해역 표층퇴적물의 평균입도 6.1Φ와 유사하다(Fig. 2). 이와 같이 국내 5개 주요 하구역 표층퇴적물의 평균입도가 하구역마다 다른 것은 퇴적물의 공급과 퇴적 그리고 퇴적물의 분포에 영향을 주는 수리역학적 다양한 요인들에 의해 지역적으로 차별화된 영향에 의해 퇴적물의 입도분포가 결정되는 것으로 생각된다(Ryu, 2003). 예를 들어, 한강 하구역은 한강에 설치된 인공구조물들에 의해 강물 흐름이 제한되고 영향을 받으며, 하천 유출량과 조석의 영향에 따라 하구역과 경기만의 연계적인 퇴적환경이 결정된다(Oh and Bang, 2003). 금강을 통해 공급되는 세립물질은 하구에 우세하게 집적되며 금강 하구역에서 부유물질의 퇴적과 재부유는 계절적으로 발생한다(Choi, 1993; Chang and Choi, 1998). 그러나, 금강 하굿둑을 통한 담수 유출의 세기와 빈도 그리고 조석에 의한 영향과 더불어 하국둑의 개폐, 남/북측 도류제, 외항의 건설 등 다양한 요인들에 의해서 강물에 의한 물질 이동양상이 변화된다(Shin et al., 2006). 영산강이나 섬진강 그리고 낙동강의 경우에도 부유물질을 운반하는 강물 유출량의 변화와 더불어 하구역에 영향을 미치는 수리역학적인 조석과 파랑뿐만 아니라 인위적인 여러 요인들에 의하여 하구역의 퇴적이 결정되며 지속적으로 변화되는 것으로 생각된다.
5.2 국내 5개 주요 하구역과 동해 용승해역 표층퇴적물의 유기탄소 함량 변화
한강, 금강, 영산강, 섬진강으로부터 유출되는 총유기탄소(용존성+입자성) 유출 플럭스는 각각 8.0×109 gC/yr, 5.9×109 gC/yr, 2.6×109 gC/yr, 2.0×109 gC/yr으로 유량에 따라 큰 차이를 보인다(Park and Ock, 2017). 강의 유량은 여름철 홍수기에 최고량을 기록하고 뚜렷한 계절적 변화를 보이기 때문에 총유기탄소 플럭스의 유입도 계절적으로 다르게 나타날 것으로 예상된다. 그러나 본 연구에서 하구역 표층퇴적물의 유기탄소 함량은 계절적 특성을 보이지 않는다(Appendix 2). 이는 강의 유량 변동이 유기탄소 함량에 큰 영향을 미치지 못하는 것으로 해석된다. 따라서 하구역 표층퇴적물의 유기탄소 함량은 강물의 유출량과 밀접한 관련은 없는 것으로 판단된다. 더불어 하구역 해양환경에서 기초생산력의 변화는 영양염 농도, 광도, 수온 등에 따른 식물플랑크톤의 생산성과 밀접하게 관련된다(O’Donohue and Dennison, 1997). 예를 들어, 섬진강 하구역에서 2001년 기초생산력은 가을철 대증식에 의해 최고값을 보였다(Yang et al., 2005). 섬진강 하구역의 일차생산이 매년 가을철에 최고를 보인다면 퇴적물의 유기탄소 함량에 그 영향이 기록될 것이다. 그러나, 섬진강 하구역에서도 강물의 계절적인 유출량의 변화와 마찬가지로 하구역 기초생산력의 계절적인 해양기원 입자성 유기탄소의 생성변화도 표층퇴적물의 유기탄소 함량에서 찾기 어렵다.
본 연구의 하구역에서 조사된 표층퇴적물의 유기탄소 함량은 각 정점마다 계절에 관계없이 시간적으로 불규칙한 변화를 보여주며 각 조사지역내에서도 공간적으로 변화가 다르게 나타난다(Appendix 2). 특히 특정 시기나 특정 정점에서 이상값을 보이는 결과도 있으나 전체적인 대푯값을 나타내는 평균에는 큰 영향이 없는 것으로 판단되었다. 하구역에서 중장기 동안 조사된 모든 정점들의 유기탄소 함량을 대표하는 평균은 퇴적물의 평균입도와 마찬가지로 각 하구역마다 다른 결과를 보여준다(Fig. 3). 조사기간 동안 유기탄소 함량의 평균은 한강 하구역과 금강 하구역에서 0.35%와 0.45%, 영산강 하구역과 섬진강 하구역에서 1.07%와 1.09%, 그리고 낙동강 하구역에서 1.45%로 계산되었다. 한편 동해 용승해역의 유기탄소 함량 평균은 1.75%로 모든 하구역보다 높은 값을 보인다. 각 하구역마다 특징되는 강물의 유출량에 의존하는 육상기원 입자성 유기물질의 양은 계절적으로 변화되지만 섬진강을 제외하고 댐이나 하굿둑의 개폐에 따른 효과 그리고 하구역에 영향을 미치는 파도나 조석과 같은 물리적인 요인에 의해 각 하구마다 다른 효과가 나타난다(예, Oh, 1989; Seo and Park, 2007). 더불어 하구역의 해양환경에 의존하는 기초생산력에 의한 해양기원 입자성 유기물질의 생산은 강물의 유출량의 변화와도 관계된다(Yang et al., 2005). 강우량이 많은 풍수기에는 수문 개방으로 부유물질, 토사 및 콜로이드성 물질 유입이 증가하여 투명도가 낮아지고, 갈수기에는 파랑이나 조석에 의한 혼합으로 급격한 염분의 변화나 영양염 유입이 없어 높은 투명도를 유지한다(예, Lee et al., 2011). 이러한 하구환경의 수층안정은 식물플랑크톤 생물량에 영향을 미친다.
하구역에 축적된 유기탄소의 구성은 강으로부터 유입된 것들과 자체내에서 생산된 것들의 혼합으로 결정되기 때문에, 퇴적물의 유기물 탄소동위원소(δ13C) 또는 C/N 비가 육상기원과 해양기원 유기탄소의 상대적인 기여를 예측하는데 광범위하게 이용된다(Hedges et al., 1997). 일반적으로 육상기원의 유기탄소는 특별한 C4 식물을 제외하고 대부분 탄소동위원소 값이 낮고(<–27‰) C/N비가 12 이상인 반면에 해양기원의 유기탄소는 탄소동위원소 값이 높고(>–22‰) C/N비가 10 이하이다. 그러나 초기속성과정에서 아미노산의 선택적인 분해와 무기질소의 공급으로 인하여 C/N비가 변할 수 있어서 육상기원의 유기탄소 기여를 결정하는데 주의가 요구된다(Goñi et al., 1998). 예를 들어, 영산강 하구역 입자물질의 탄소동위원소 값을 이용하여 축산폐수 및 농경지를 통한 유기물 유입의 기원을 추정하였다(Lee et al. 2013). 한편 자료의 제약이 있겠지만, 한강 하구역, 금강 하구역, 영산강 하구역 표층퇴적물의 유기물 탄소동위원소가 각각 -21.8‰, -21.4‰, -20.8‰로 측정되어 하구역에서 육상기원 유기물의 유입에 비해 일차생산력에 기인한 해양기원 자생유기물의 기여가 크다고 보고되었다(Yoon et al., 2010). 따라서 하구역 표층퇴적물 유기탄소의 기원에 대한 보다 정확한 판단을 위한 유기물 탄소동위원소와 같은 추가적인 자료가 요구된다.
5.3 국내 하구역 표층퇴적물의 평균입도와 유기탄소 함량의 상관관계
퇴적물의 점토 함량과 유기탄소 함량 사이의 양의 상관관계는 유기탄소가 점토 입자에 의해 흡착되기 때문에 퇴적물 점토입자의 표면적이 중요하기 때문이다(Mayer, 1994). 하구역 퇴적물의 유기탄소 함량은 퇴적물의 입도, 유기탄소의 기원, 퇴적률, 보존율(즉, 분해율) 등등 다양한 변수에 의해서 결정된다(Burdige, 2006). 이 연구에서는 퇴적물의 입도와 유기탄소 함량과의 관계를 조사하였다. 5개 하구역과 동해 용승해역에서 6년간 분석된 표층퇴적물의 점토 함량과 유기탄소 함량의 상관관계를 제시하였다(Appendix 3). 각 조사 지역에서 분석된 결과는 다양한 상관관계를 보여주며, 5개 하구역과 동해 용승해역의 상관관계들도 각각 상이하다. 이 연구에서 사용된 자료들은 각 조사 지역마다 서로 다른 계절과 연도에 획득된 퇴적물 시료에서 분석되었다. 따라서 모든 자료가 동일한 시기에 분석되지 않았기 때문에 더불어 동시성을 보이는 시료의 개수가 매우 적기 때문에 통계적인 상관관계는 계산이 어렵고 큰 의미를 보이지 않는다. 결과적으로 분석된 자료들은 예상되는 하나의 동일한 상관관계로 점토 함량으로 대표되는 퇴적물의 입도와 유기탄소 함량 사이에 뚜렷한 관련성을 보이지 않는다. 그러나 정성적인 분석에 의하면 전체적으로 각 조사 지역내에서 점토 함량과 유기탄소 함량은 특별한 이상값(outlier)들을 제외하면 점토 함량의 어떤 특정 범위내에서 양의 상관관계를 보이는 예를 찾을 수 있다(Appendix 3).
이 연구에서는 5개 주요 하구역과 동해 용승해역에서 3~6년간 조사된 모든 표층퇴적물의 평균입도 자료와 유기탄소 함량 자료에서 계산된 각 하구역을 대표하는 평균을 이용하여 상관관계를 확인하였다. 각 하구역과 동해 용승해역은 각 지역을 대표하는 평균입도와 유기탄소 함량 사이에 뚜렷한 양의 상관관계를 보이며 각 지역들이 구분된다(Fig. 4(a)). 평균입도를 대신하는 점토 함량 자료에 의해서도 동일한 양의 상관관계를 보이며 뚜렷한 구분이 확인된다(Fig. 4(b)). 각 하구역마다 강물 유출량, 조석과 파랑의 효과 그리고 댐이나 하굿둑 운영에 의한 조건 등 다양한 변수들에 의해 지역적인 특성이 표층퇴적물의 분포 그리고 퇴적물의 조성 및 유기탄소 함량에 영향을 미친다(예, Yoo et al., 2017). 각 하구역의 평균입도와 유기탄소 함량 결과들의 평균이 넓은 범위의 표준편차를 보이는 것은 이러한 환경요인들의 변화를 반영하는 것으로 생각된다. 그럼에도 불구하고, 국내 5개 하구역은 표층퇴적물의 평균입도(또는 점토함량)과 유기탄소 함량의 대표값에 의해 뚜렷하게 구분이 된다. 이러한 결과는 국내 하구역에서도 퇴적물의 유기탄소 함량이 점토 함량에 의해 중요하게 조절되는 것을 지시한다(Mayer, 1994). 한편, 5개 하구역의 점토 함량 또는 평균입도와 유기탄소 함량의 관계가 동일선상에서 변화되는 것과는 다르게 동해 용승해역의 경우 같은 점토 함량(또는 평균입도)보다 유기탄소 함량이 부화된 것을 나타낸다. 이러한 이유는 아마도 하구역과 다르게 동해 용승해역에서 유기탄소 함량의 추가적인 조절요인이 있기 때문으로 생각된다(Yoo and Park, 2009). 예를 들어, 용승해역은 다른 하구역에 비하여 영양염 공급에 의한 높은 일차생산으로 유기탄소의 기여 또는 천해 대륙붕에서 연안류에 의한 퇴적물 이동 등 입도에 의한 유기탄소의 기여 등 다른 기작으로 인하여 유기탄소 함량이 높은 것으로 해석된다.

Fig. 4.
(a) Biplot between the average and standard deviation of mean grain size and organic carbon content in the 5 major estuarine areas (Han River Estuary, Geum River Estuary, Yeongsan River Estuary, Seomjin River Estuary, and Nakdong River Estuary) and the East Sea upwelling area. (b) Biplot between the average and standard deviation of clay and organic carbon contents in the 5 major estuarine areas and the East Sea upwelling area.
연안생태계에서 생물량에 의해 제거되고 격리되는 대기 이산화탄소를 블루카본(blue carbon)이라 불리며, 최근의 기후변화를 완화시키는 연구의 주요 관심 주제로 부각되었다. 대기 이산화탄소가 격리하는 것은 연구자마다 기준에 차이가 있지만 적어도 백 년동안은 다시 수층이나 대기로 방출되지 않는 것을 의미한다. 이런 관점에서 표층퇴적물의 유기탄소는 그 전부가 블루카본은 아니다. 하구역의 퇴적물에 육상기원 유기물이 해양에 축적된 것을 블루카본으로 간주할 것인지에 대해 역시 연구자들마다 견해가 다르지만 블루카본의 정의에 의하면 배제시키는 것이 맞다. 그러나 하구역 또는 조간대의 경우 대양에 비해 탄소제거율이 매우 높은 것으로 평가된다(Rogers et al., 2019). 또한 연안습지의 경우 산림생태계보다 단위 면적당 탄소 저장률이 30~50배 높은 것으로 조사되었다(Mcleod et al. 2011). 국내 염습지(섬진강하구, 낙동강하구)와 조간대(강화도, 가로림만, 섬진강)의 평균 탄소저장량은 14.6~25.5 kgC/m2와 8.2~28.6 kgC/m2로 계산되었다(Byun et al., 2019). Lee et al.(2021)은 국내 7개 지역(경기, 전남, 전북, 전남, 경남, 경북, 강원) 21개의 조간대에서 머드 함량이 유기탄소 함량을 조절하는 중요한 요인으로 제안하였고 유기탄소 저장량(13,142,149 MgC)과 제거량(71,383 MgC/yr)을 추정하였다.
하구역은 담수와 해수의 경계에서 생산성이 매우 높은 동적 생태계를 유지한다. 일차생산자 식물플랑크톤은 하구역의 무기물을 유기물로 전환시키며, 하구역에서 이러한 유기물의 생산은 연중 시간에 따라 매우 다양한 물리화학적 요인에 의해 영향을 받는다. 이러한 육상-해양의 연계성은 최종적으로 유기탄소를 해양퇴적물에 운반하고 축적한다. 하구역을 포함한 연안지역에서 퇴적물에 포함된 유기탄소 함량이 조절되고 보존되는 과정은 다양한 요인에 의해 영향을 받는다. 특정 해역에서 탄소 저장량 또는 제거량을 계산하기 위해서는 퇴적물의 건조 전밀도(dry bulk density), 유기탄소 함량, 퇴적률, 그리고 대상 지역의 면적 등의 자료가 필요하다. 퇴적물의 전밀도는 퇴적물의 구성성분에 의해 달라지지만, 연안 또는 하구역 퇴적물의 경우 쇄설성 입자로 대부분 구성되어 그 변화가 크지 않다. 예를 들어, 태안반도 남서부 해양퇴적물의 건조 전밀도는 1.32~1.85 g/cm3이고, 서해 조간대 퇴적물과 남해 조간대 퇴적물은 각각 1.11~1.59 g/cm3, 0.86~1.36 g/cm3로 그 변화 범위가 크지 않다(Kim et al., 2016; Lee et al., 2021). 따라서 일반적으로 단위 면적당 탄소 저장량은 퇴적물의 유기탄소 함량이 가장 중요한 변수로 작용한다.
국내 5개 하구역 표층퇴적물의 유기탄소 함량은 하구역별로 다르게 특징된다(Fig. 3). 표층퇴적물의 유기탄소 함량은 영산강 하구역(평균 1.07%)과 섬진강 하구역(평균 1.09%)이 한강 하구역(평균 0.35%)과 금강 하구역(평균 0.45%)의 2배 이상이다. 낙동강 하구역(평균 1.45%)은 동해 용승해역(평균 1.75%)과 비슷하며 하구역중 가장 높은 함량을 보인다. 이러한 하구역 표층퇴적물의 유기탄소 함량은 국내 조간대에서 분석되고 발표된 결과(머드가 우세한 퇴적물: 0.58%, 머드-모래 혼합 퇴적물: 0.48%, 모래가 우세한 퇴적물: 0.23%)와도 유사한 경향을 보인다(Lee et al., 2021). 결과의 단순한 비교에 의해 낙동강 하구역이 유기탄소 함량이 가장 높은 하구역으로 평가될 수 있다. 그러나, 탄소 저장량의 평가는 다른 변수들의 평가가 요구되며 단순히 유기탄소 함량으로 결정되지 않는다. 그럼에도 불구하고 국내 주요 하구역의 유기탄소 함량은 하구역을 구성하는 표층퇴적물의 입도와 매우 밀접한 관련을 보여준다.
6. 결 론
하구역은 염습지, 연안 및 조간대, 만과 연근해 등의 전이구역을 포함한 담수에 의한 염분 변화와 조석과 파랑의 영향을 받는 반폐쇄형 전이수역이다. 우리나라 주요 하구역은 한강과 섬진강의 열린하구와 대부분 인위적인 개발에 의해 하구순환이 차단된 닫힌하구로 정의된다. 2015년부터 2020년까지 매년 4계절(동계[1월-3월], 춘계[5월-6월], 하계[7월-9월], 추계[10월-11월])에 수행된 국가 해양생태계 종합조사의 연안생태 중점조사에서 발표된 우리나라 5개의 하구역(한강, 금강, 영산강, 섬진강, 낙동강)과 1개의 용승해역(동해) 표층퇴적물의 입도와 유기탄소 함량을 정리하였다. 5개 하구역과 동해 용승해역 표층퇴적물의 입도와 유기탄소 함량의 변화는 계절적인 환경 요인보다는 각 조사지역내의 다양한 해양환경 및 수리역학적 조건을 고려하여 해석해야 할 것이다. 분석된 모든 표층퇴적물의 평균입도의 평균은 한강 하구역과 금강 하구역에서 3.6Φ와 3.7Φ로 조립하며 영산강 하구역과 섬진강 하구역에서 5.5Φ와 5.7Φ로 세립하고 낙동강 하구역은 6.5Φ로 동해 용승해역 6.1Φ와 유사하며 가장 세립하다. 표층퇴적물의 유기탄소 함량의 평균은 한강 하구역과 금강 하구역에서 0.35%와 0.45%이며, 영산강 하구역과 섬진강 하구역에서 1.07%와 1.09%이고 낙동강 하구역에서 1.45%이고 동해 용승해역에서 1.75%로 나타났다. 각 하구역 표층퇴적물의 유기탄소 함량은 퇴적물의 평균입도 또는 점토 함량과의 상관관계에 의해 하구역의 특징이 구분된다. 현재 국내 연안환경의 표층퇴적물에서 분석된 평균입도와 유기탄소 함량의 결과에 의하면 낙동강 하구역이 다른 하구역들에 비하여 매우 세립하고 유기탄소의 함량이 높지만 생산성이 높은 동해 용승해역보다는 유기탄소 함량이 낮다.
부 록
Appendix 1.
Variation of mean grain size (MGS) in the 5 major estuarine areas of Korea and the East Sea upwelling area during the season (winter: W, spring: S, summer: S, and fall: F) from 2015 to 2020. The numbers in the right upper of each profile represent the mean grain size and standard deviation. (a) Han River Estuary, (b) Geum River Estuary, (c) Yeongsan River Estuary, (d) Seomjin River Estuary, (e) Nakdong River Estuary, and (f) East Sea upwelling area

Appendix 2.
Variation of organic carbon (OC) content in the 5 major estuarine areas of Korea and the upwelling area of the East Sea during the season (winter: W, spring: S, summer: S, and fall: F) from 2015 to 2020. The dotted red line marks the reference of outliers. The black numbers in the right upper of each profile represent the mean organic carbon content and standard deviation. The red numbers represent the mean organic carbon content and standard deviation except for the outliers that were unexpectedly higher or lower values. (a) Han River Estuary, (b) Geum River Estuary, (c) Yeongsan River Estuary, (d) Seomjin River Estuary, (e) Nakdong River Estuary, and (f) East Sea upwelling area

Appendix 3.
Biplot between the clay and organic carbon contents of 5 major estuarine areas of Korea [(a) Han River Estuary, (b) Geum River Estuary, (c) Yeongsan River Estuary, (d) Seomjin River Estuary, and (e) Nakdong River Estuary) and (f) the East Sea upwelling area during the season (winter: W, spring: S, summer: S, and fall: F) from 2015 to 2020. The dotted line represents the arbitrary degree of correlation





